There are only four possible permutations when adding two single bits together –

0 + 0 = 0

1 + 0 = 1

0 + 1 = 1

1 + 1 = 0 Carry 1 (or 10)

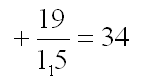
The carry bit works exactly the same way as addition in denary works. For example the sum shown underneath. 9 + 5 = 14 or 4 carry 1. The 1 is then carried from the 1's column to the 10's column. The addition in the 10's column

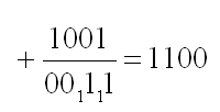
Binary works in the exact same way. Below is a example addition.

The first digit is 1 + 1 = 0 carry 1. The one is then carried over to the second digit. This then becomes 0 + 1 + 1 = 0 carry 1. The next digit becomes 0 + 0 + 1 = 1. Finally 1 + 0 + 0 = 1. As such the final answer becomes 1100. It is easy to check the answer by converting all of the binary into denary. 1100 is 12 and as you can see below, the above sum does indeed give 12.

The next example shows what happens when the carry digit is passed on over the end. Effectivly it is lost. What actually has happened is that the numbers we are adding together have produced a value which can not be stored in 4 bits. As such the carry bit is said to overflow. A overflow in a binary addition means that the result will not be correct and that more bits may be needed.

In 4 bits the largest value you can store is 15. 8 + 8 = 16 and as 16 is greater than 15 it will be impossible to perform this calculation in 4 bits. However if 5 bits were used then this calculation would be possible.